Официальное опубликование правовых актов
ОФИЦИАЛЬНОЕ ОПУБЛИКОВАНИЕ
Постановление Правительства Самарской области от 15.12.2025 № 825
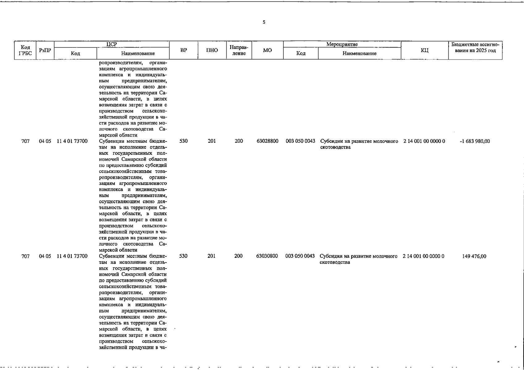
"О внесении изменений в отдельные распределения на 2025 – 2027 годы субвенций, формируемых за счет собственных доходов и источников финансирования дефицита областного бюджета, по городским округам, городским округам с внутригородским делением, муниципальным районам, утвержденные Законом Самарской области "Об областном бюджете на 2025 год и на плановый период 2026 и 2027 годов", и внесении изменений в сводную бюджетную роспись областного бюджета на 2025 год и на плановый период 2026 и 2027 годов"
Номер опубликования: 6300202512180011
Дата опубликования: 18.12.2025
Страница №12 из 17:
Увеличить