Официальное опубликование правовых актов
ОФИЦИАЛЬНОЕ ОПУБЛИКОВАНИЕ
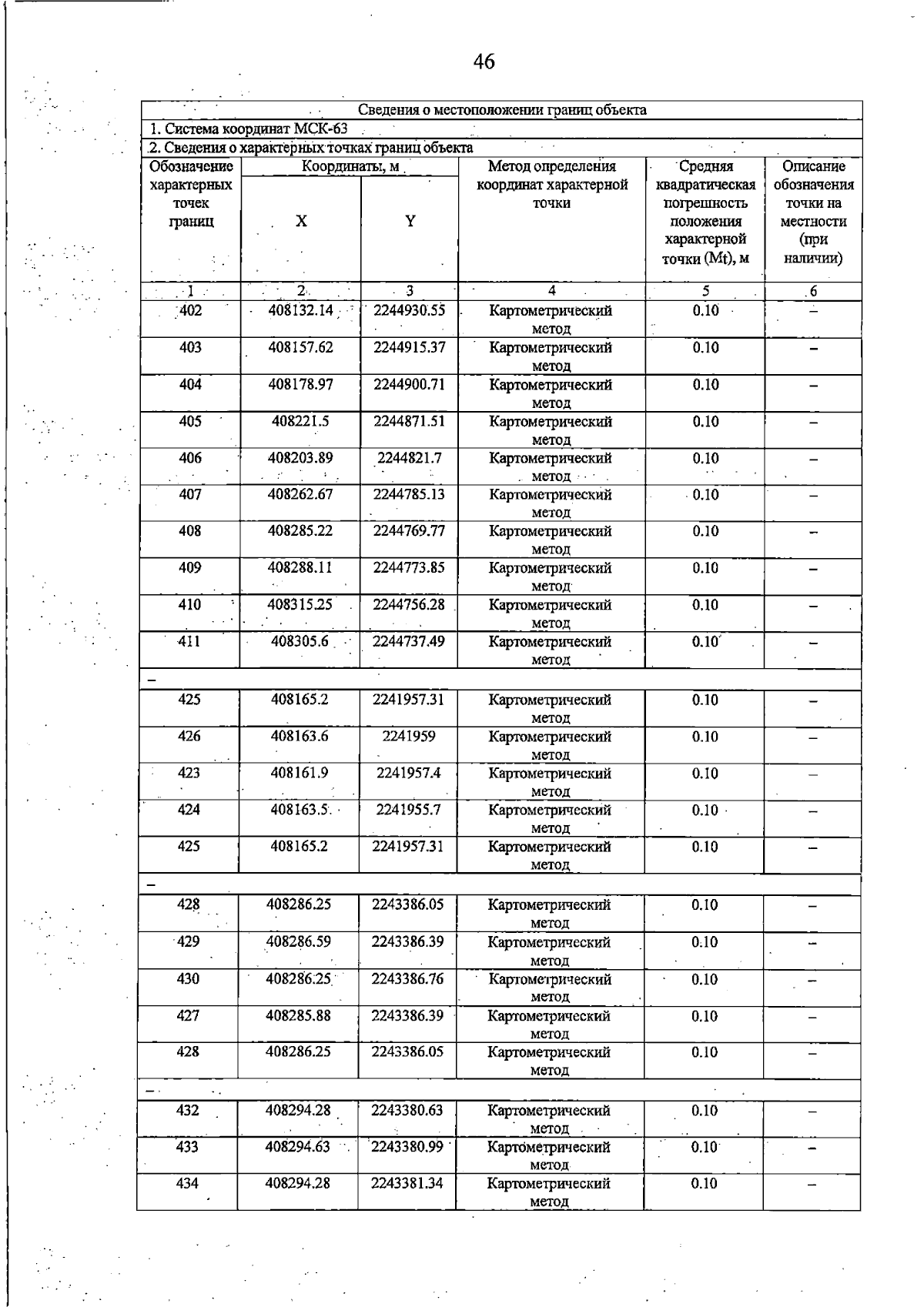
Постановление Правительства Самарской области от 11.12.2025 № 782
"О внесении изменений в Генеральный план сельского поселения Садгород муниципального района Кинель-Черкасский Самарской области"
Номер опубликования: 6300202512160012
Дата опубликования: 16.12.2025
Страница №94 из 169:
Увеличить