Официальное опубликование правовых актов
ОФИЦИАЛЬНОЕ ОПУБЛИКОВАНИЕ
Постановление Правительства Самарской области от 20.11.2025 № 716
"О внесении изменений в Генеральный план сельского поселения Ерзовка муниципального района Кинель-Черкасский Самарской области"
Номер опубликования: 6300202511240036
Дата опубликования: 24.11.2025
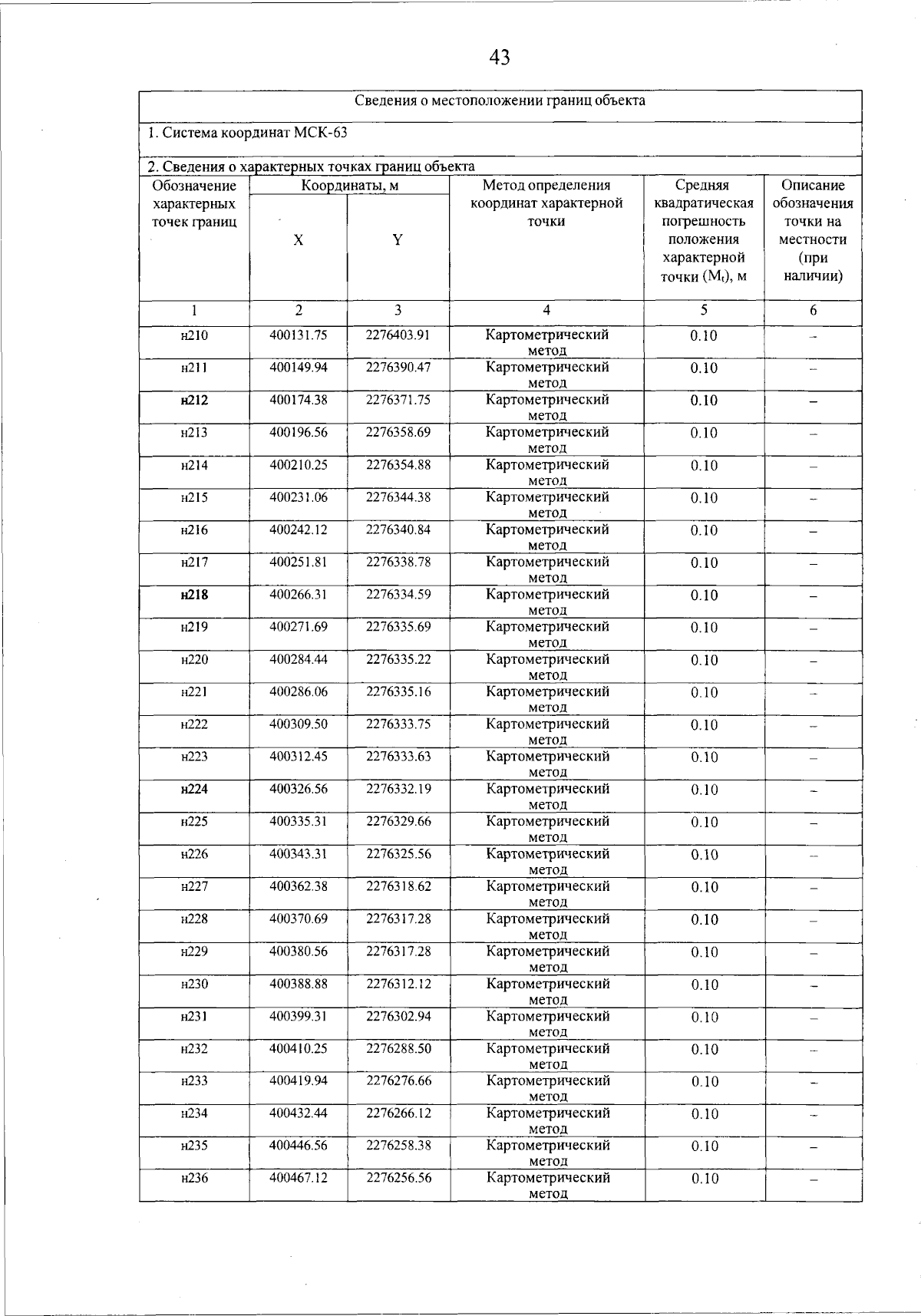
Страница №91 из 105:
Увеличить