Официальное опубликование правовых актов
ОФИЦИАЛЬНОЕ ОПУБЛИКОВАНИЕ
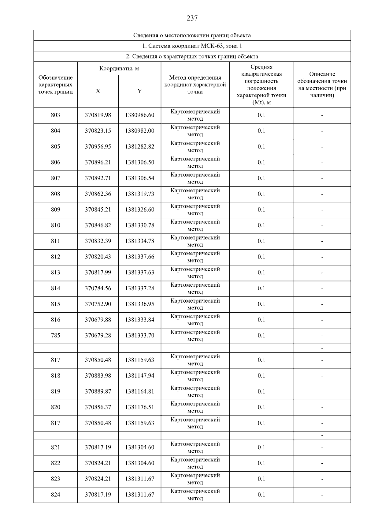
Постановление Правительства Самарской области от 20.11.2025 № 715
"О внесении изменений в Генеральный план сельского поселения Лопатино муниципального района Волжский Самарской области"
Номер опубликования: 6300202511240034
Дата опубликования: 24.11.2025
Страница №294 из 299:
Увеличить