Официальное опубликование правовых актов
ОФИЦИАЛЬНОЕ ОПУБЛИКОВАНИЕ
Постановление Правительства Самарской области от 23.05.2025 № 290
"О внесении изменений в Генеральный план городского поселения Осинки муниципального района Безенчукский Самарской области"
Номер опубликования: 6300202505270023
Дата опубликования: 27.05.2025
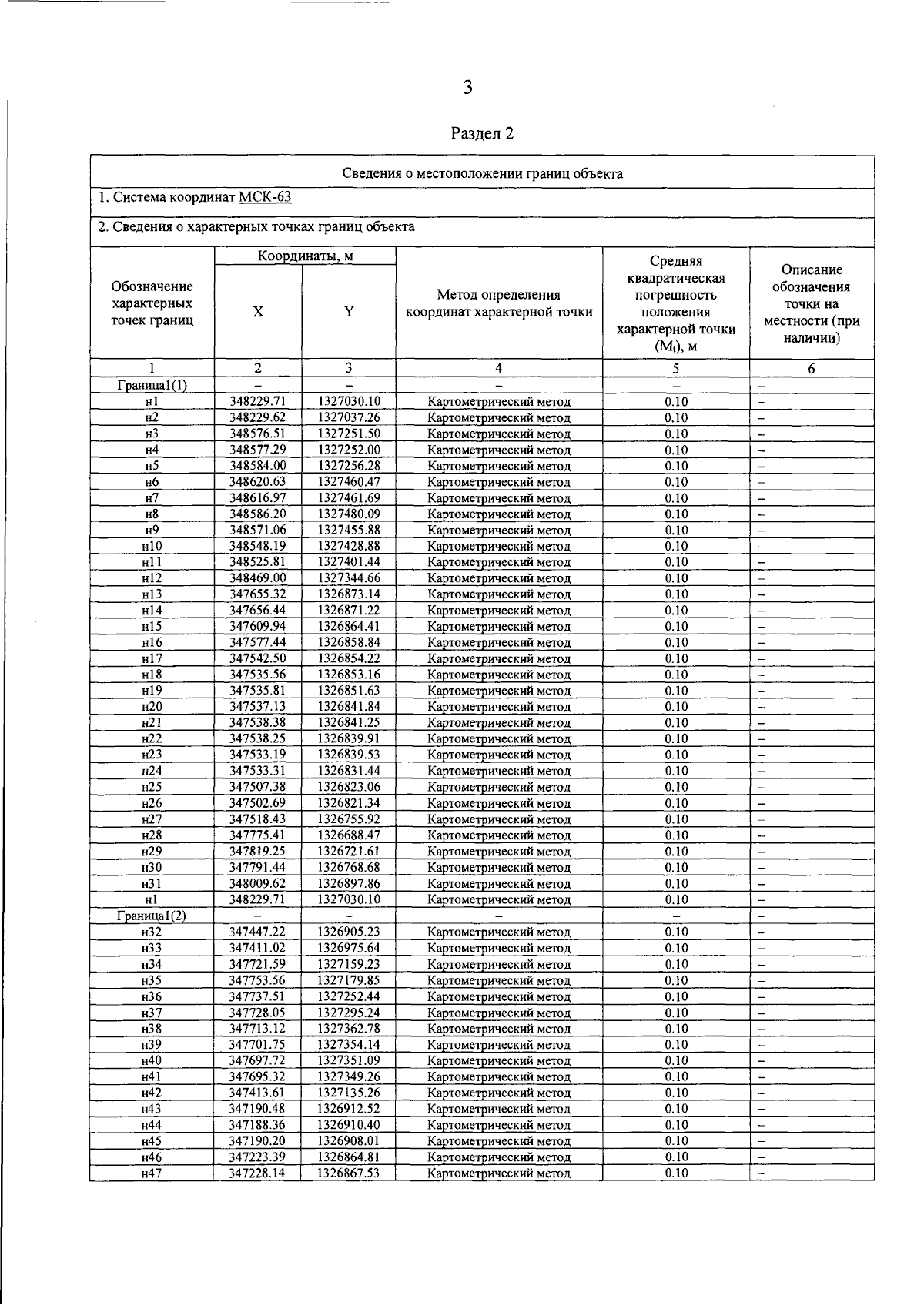
Страница №37 из 62:
Увеличить