Официальное опубликование правовых актов
ОФИЦИАЛЬНОЕ ОПУБЛИКОВАНИЕ
Постановление Правительства Самарской области от 13.12.2019 № 928
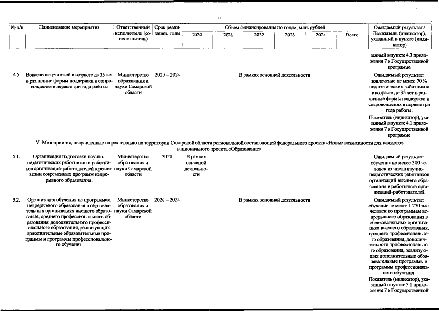
"О внесении изменений в постановление Правительства Самарской области от 21.01.2015 № 6 "Об утверждении государственной программы Самарской области "Развитие образования и повышение эффективности реализации молодёжной политики в Самарской области" на 2015 – 2024 годы" и признании утратившим силу постановления Правительства Самарской области от 23.11.2015 № 752 "Об установлении расходного обязательства Самарской области и внесении изменений в отдельные постановления Правительства Самарской области"
Номер опубликования: 6300201912180006
Дата опубликования: 18.12.2019
Страница №99 из 111:
Увеличить