Официальное опубликование правовых актов
ОФИЦИАЛЬНОЕ ОПУБЛИКОВАНИЕ
Распоряжение Губернатора Самарской области от 30.09.2019 № 463-р
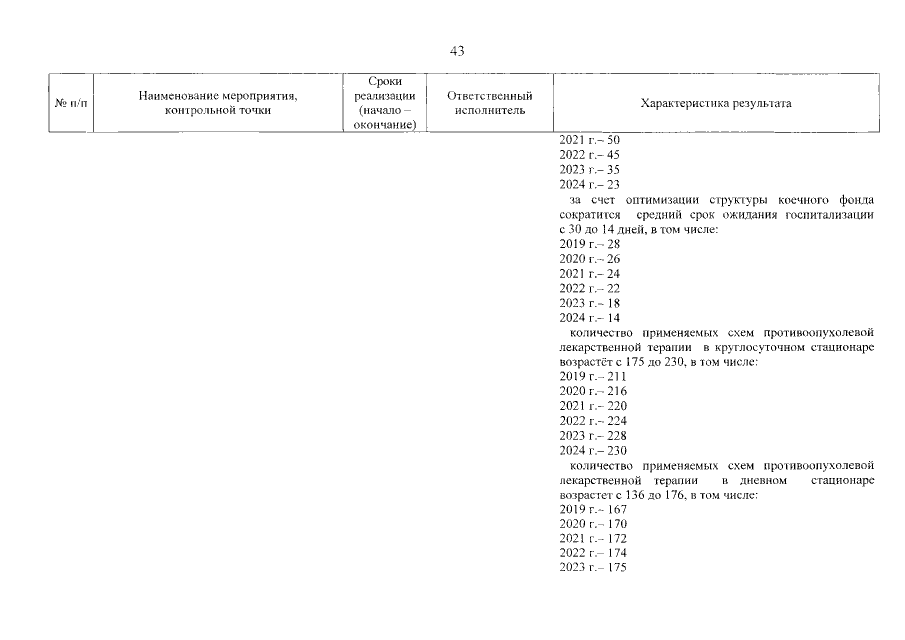
"О внесении изменений в распоряжение Губернатора Самарской области от 28.06.2019 № 299-р "Об утверждении региональной программы "Борьба с онкологическими заболеваниями в Самарской области" на 2019 – 2024 годы"
Номер опубликования: 6300201910070003
Дата опубликования: 07.10.2019
Страница №55 из 69:
Увеличить