Постановление Правительства Самарской области от 26.09.2019 № 669
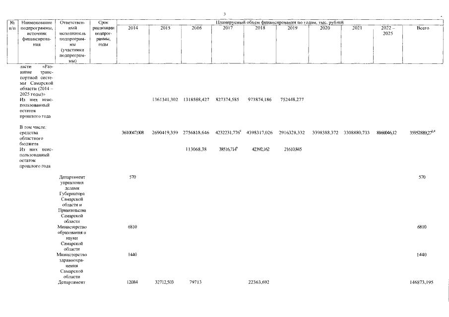
"О внесении изменений в постановление Правительства Самарской области от 27.11.2013 № 677 "Об утверждении государственной программы Самарской области "Развитие транспортной системы Самарской области (2014 - 2025 годы)"
"О внесении изменений в постановление Правительства Самарской области от 27.11.2013 № 677 "Об утверждении государственной программы Самарской области "Развитие транспортной системы Самарской области (2014 - 2025 годы)"
Номер опубликования: 6300201910010020
Дата опубликования:
01.10.2019
