Официальное опубликование правовых актов
ОФИЦИАЛЬНОЕ ОПУБЛИКОВАНИЕ
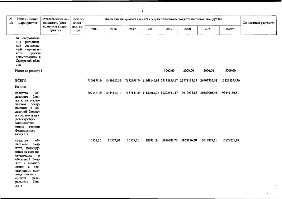
Постановление Правительства Самарской области от 20.08.2019 № 580
"О внесении изменений в постановление Правительства Самарской области от 23.07.2014 № 418 "Об утверждении государственной программы Самарской области "Развитие социальной защиты населения в Самарской области" на 2014 – 2021 годы"
Номер опубликования: 6300201908230007
Дата опубликования: 23.08.2019
Страница №20 из 31:
Увеличить