Официальное опубликование правовых актов
ОФИЦИАЛЬНОЕ ОПУБЛИКОВАНИЕ
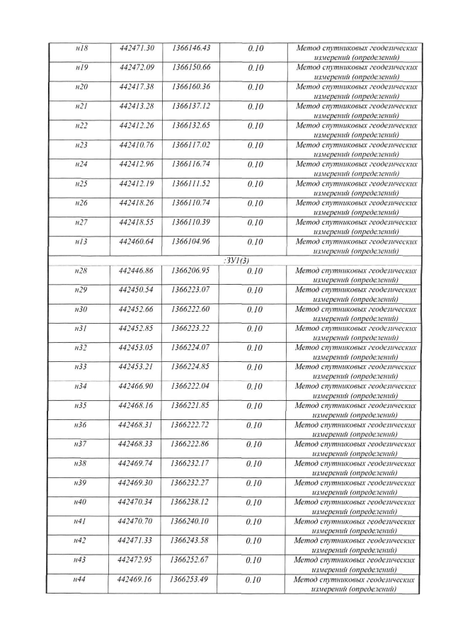
Распоряжение Правительства Самарской области от 07.08.2019 № 743-р
"Об установлении публичных сервитутов в отношении земельных участков, расположенных на территории Самарской области, в целях размещения объектов регионального значения – объектов электросетевого хозяйства"
Номер опубликования: 6300201908130011
Дата опубликования: 13.08.2019
Страница №36 из 38:
Увеличить