Официальное опубликование правовых актов
ОФИЦИАЛЬНОЕ ОПУБЛИКОВАНИЕ
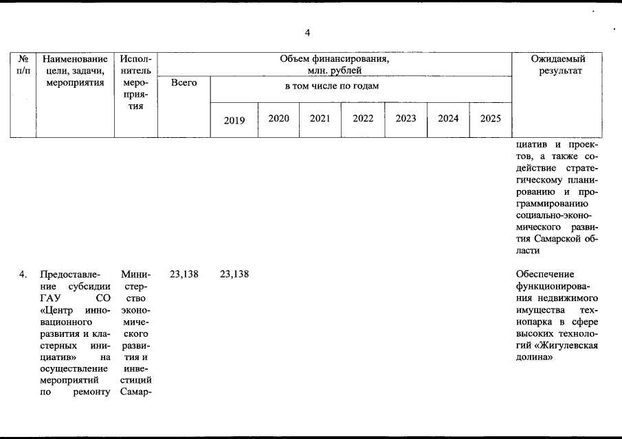
Постановление Правительства Самарской области от 17.05.2019 № 320
"О внесении изменений в постановление Правительства Самарской области от 14.11.2013 № 622 "Об утверждении государственной программы Самарской области "Создание благоприятных условий для инвестиционной и инновационной деятельности в Самарской области" на 2014 – 2030 годы"
Номер опубликования: 6300201905210003
Дата опубликования: 21.05.2019
Страница №109 из 114:
Увеличить