Официальное опубликование правовых актов
ОФИЦИАЛЬНОЕ ОПУБЛИКОВАНИЕ
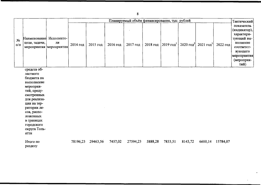
Постановление Правительства Самарской области от 15.04.2019 № 223
"О внесении изменений в постановление Правительства Самарской области от 14.11.2013 № 621 "Об утверждении государственной программы Самарской области "Развитие лесного хозяйства Самарской области на 2014 – 2030 годы"
Номер опубликования: 6300201904160009
Дата опубликования: 16.04.2019
Страница №42 из 60:
Увеличить