Официальное опубликование правовых актов
ОФИЦИАЛЬНОЕ ОПУБЛИКОВАНИЕ
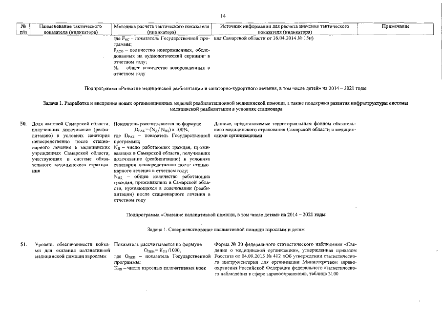
Постановление Правительства Самарской области от 05.04.2019 № 201
"О внесении изменений в постановление Правительства Самарской области от 27.11.2013 № 674 "Об утверждении государственной программы Самарской области "Развитие здравоохранения в Самарской области" на 2014 – 2021 годы"
Номер опубликования: 6300201904090017
Дата опубликования: 09.04.2019
Страница №84 из 98:
Увеличить