Официальное опубликование правовых актов
ОФИЦИАЛЬНОЕ ОПУБЛИКОВАНИЕ
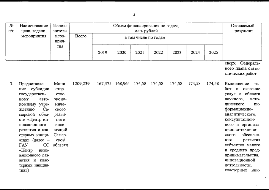
Постановление Правительства Самарской области от 29.03.2019 № 183
"О внесении изменений в постановление Правительства Самарской области от 14.11.2013 №622 "Об утверждении государственной программы Самарской области "Создание благоприятных условий для инвестиционной и инновационной деятельности в Самарской области" на 2014 – 2030 годы"
Номер опубликования: 6300201904020004
Дата опубликования: 02.04.2019
Страница №74 из 83:
Увеличить