Официальное опубликование правовых актов
ОФИЦИАЛЬНОЕ ОПУБЛИКОВАНИЕ
Распоряжение Правительства Самарской области от 25.07.2018 № 592-р
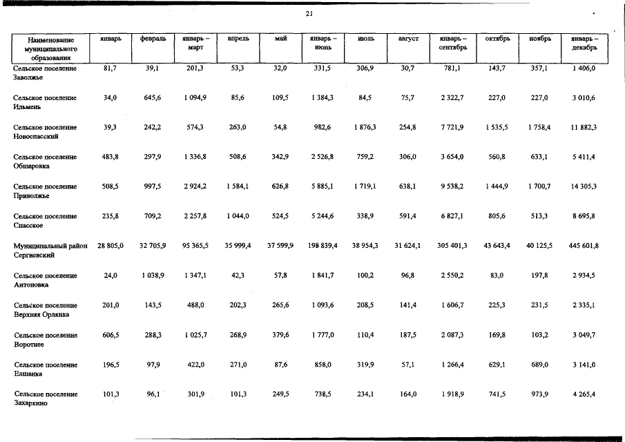
"О внесении изменений в распоряжение Правительства Самарской области от 23.01.2018 № 33-р "Об утверждении прогнозных значений социально-экономических показателей, оцениваемых при предоставлении из областного бюджета субсидий местным бюджетам для софинансирования расходных обязательств по вопросам местного значения, предоставляемых с учётом выполнения показателей социально-экономического развития, на 2018 год"
Номер опубликования: 6300201807260007
Дата опубликования: 26.07.2018
Страница №23 из 32:
Увеличить