Официальное опубликование правовых актов
ОФИЦИАЛЬНОЕ ОПУБЛИКОВАНИЕ
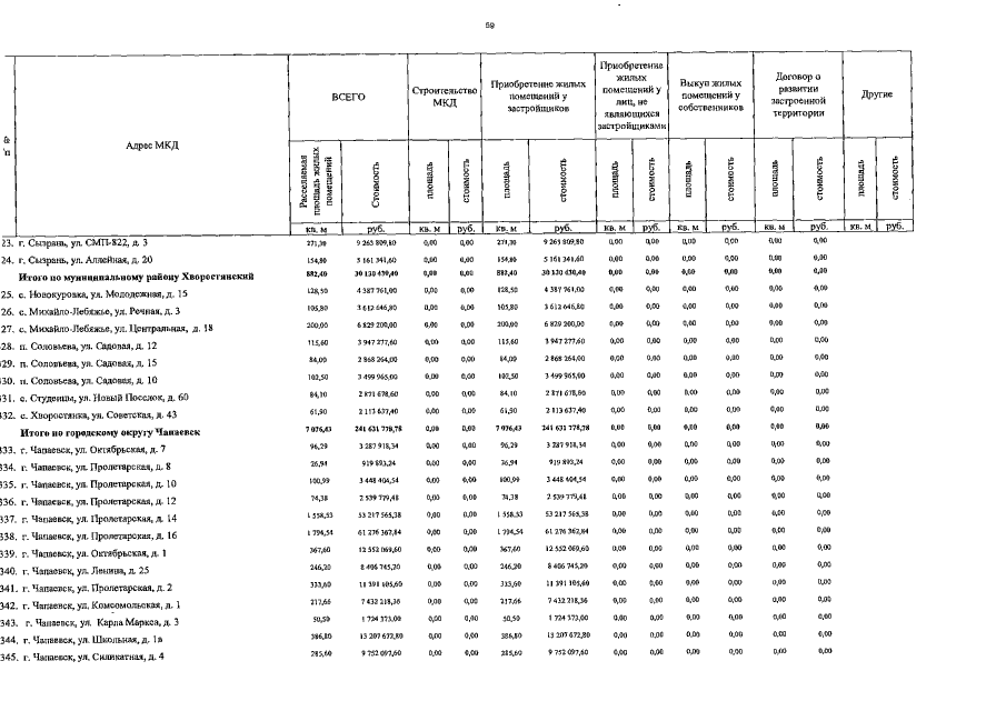
Постановление Правительства Самарской области от 23.07.2018 № 420
"О внесении изменений в постановление Правительства Самарской области от 27.11.2013 № 684 "Об утверждении государственной программы Самарской области "Развитие жилищного строительства в Самарской области" до 2020 года"
Номер опубликования: 6300201807240009
Дата опубликования: 24.07.2018
Страница №120 из 128:
Увеличить