Официальное опубликование правовых актов
ОФИЦИАЛЬНОЕ ОПУБЛИКОВАНИЕ
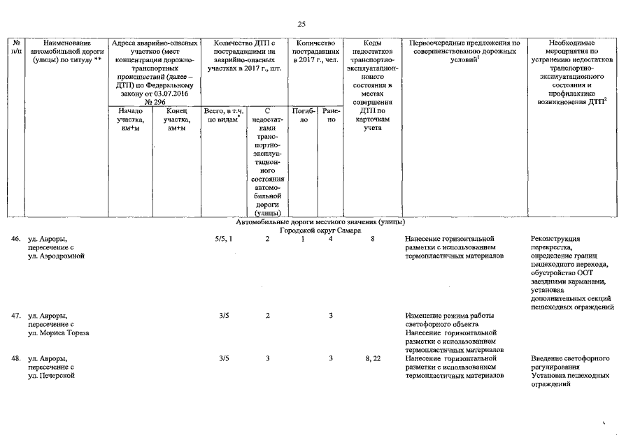
Постановление Правительства Самарской области от 27.04.2018 № 230
"О внесении изменения в постановление Правительства Самарской области от 27.11.2013 № 677 "Об утверждении государственной программы Самарской области "Развитие транспортной системы Самарской области (2014 – 2025 годы)"
Номер опубликования: 6300201805030001
Дата опубликования: 03.05.2018
Страница №275 из 350:
Увеличить