Официальное опубликование правовых актов
ОФИЦИАЛЬНОЕ ОПУБЛИКОВАНИЕ
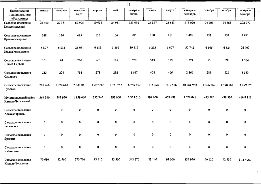
Распоряжение Правительства Самарской области от 23.01.2018 № 33-р
"Об утверждении прогнозных значений социально-экономических показателей, оцениваемых при предоставлении из областного бюджета субсидий местным бюджетам для софинансирования расходных обязательств по вопросам местного значения, предоставляемых с учётом выполнения показателей социально-экономического развития, на 2018 год"
Номер опубликования: 6300201801250013
Дата опубликования: 25.01.2018
Страница №16 из 124:
Увеличить