Официальное опубликование правовых актов
ОФИЦИАЛЬНОЕ ОПУБЛИКОВАНИЕ
Постановление Правительства Самарской области от 26.12.2017 № 885
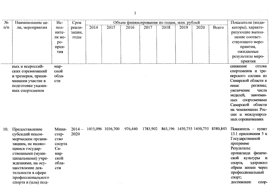
"О внесении изменений в постановление Правительства Самарской области от 27.11.2013 № 683 "Об утверждении государственной программы Самарской области "Развитие физической культуры и спорта в Самарской области на 2014 – 2020 годы"
Номер опубликования: 6300201712260029
Дата опубликования: 26.12.2017
Страница №6 из 12:
Увеличить