Официальное опубликование правовых актов
ОФИЦИАЛЬНОЕ ОПУБЛИКОВАНИЕ
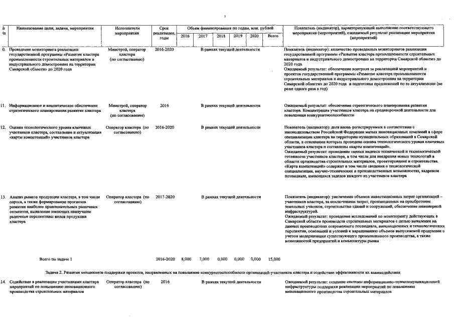
Постановление Правительства Самарской области от 28.09.2017 № 616
"О внесении изменений в постановление Правительства Самарской области от 25.11.2015 № 769 "Об утверждении государственной программы Самарской области "Развитие кластера промышленности строительных материалов и индустриального домостроения на территории Самарской области" до 2020 года"
Номер опубликования: 6300201710030001
Дата опубликования: 03.10.2017
Страница №53 из 61:
Увеличить