Официальное опубликование правовых актов
ОФИЦИАЛЬНОЕ ОПУБЛИКОВАНИЕ
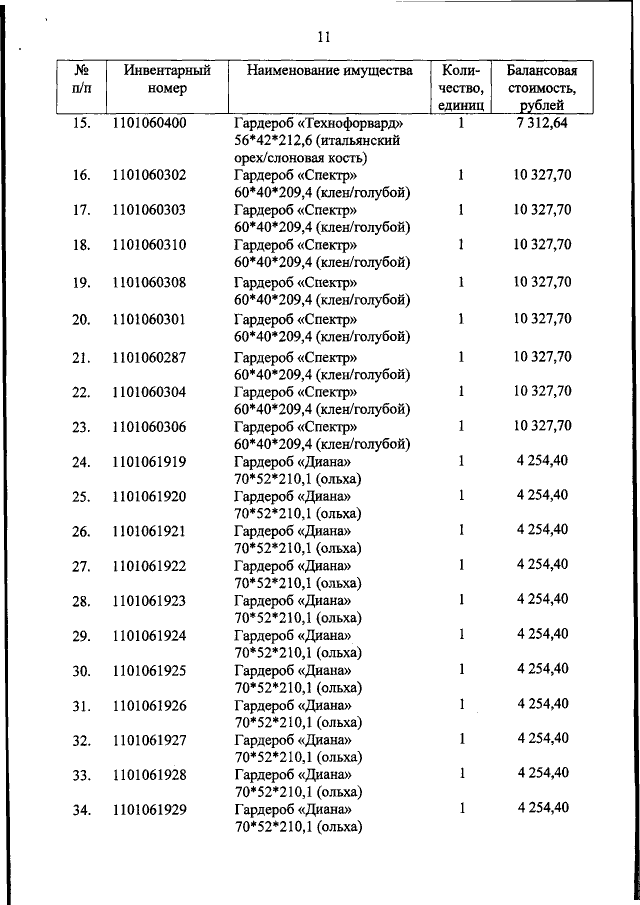
Постановление Правительства Самарской области от 28.07.2017 № 500
"О создании государственного автономного учреждения Самарской области "Учебно-спортивный центр "Грация" и внесении изменения в постановление Правительства Самарской области от 20.02.2012 № 56 "Об утверждении предельной штатной численности государственных учреждений, подведомственных министерству спорта Самарской области, финансовое обеспечение которой осуществляется за счет средств областного бюджета"
Номер опубликования: 6300201708010001
Дата опубликования: 01.08.2017
Страница №15 из 136:
Увеличить