Официальное опубликование правовых актов
ОФИЦИАЛЬНОЕ ОПУБЛИКОВАНИЕ
Распоряжение Правительства Самарской области от 07.06.2017 № 489-р
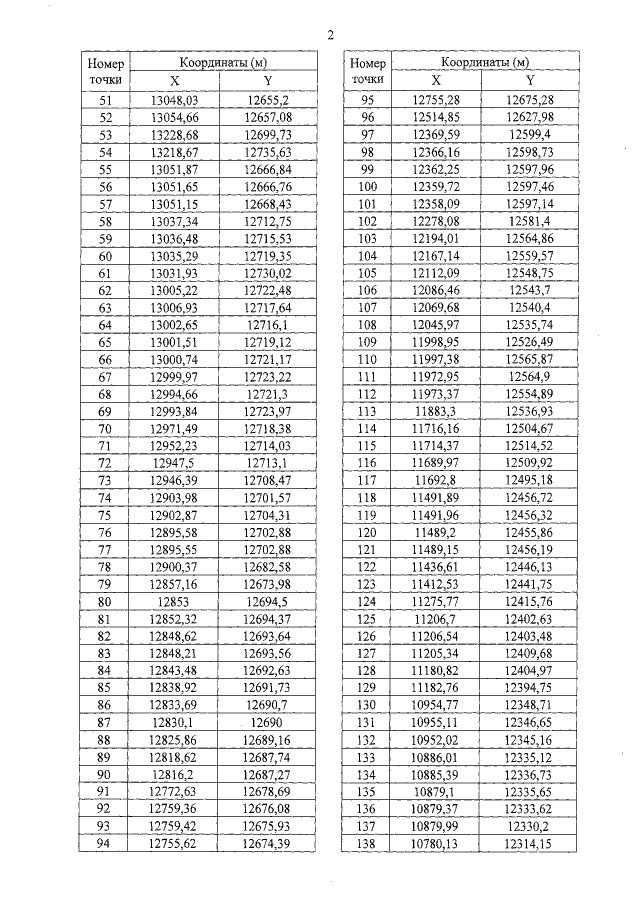
"О внесении изменений в распоряжение Правительства Самарской области от 15.12.2014 № 969-р "Об утверждении основной части проекта планировки территории для размещения объекта транспортной инфраструктуры регионального значения "Реконструкция Московского шоссе на участке от проспекта Кирова до АЗС № 115 "Роснефть" городского округа Самара, обеспечивающего подъезд к стадиону"
Номер опубликования: 6300201706130006
Дата опубликования: 13.06.2017
Страница №19 из 34:
Увеличить