Официальное опубликование правовых актов
ОФИЦИАЛЬНОЕ ОПУБЛИКОВАНИЕ
Постановление Правительства Самарской области от 02.03.2017 № 130
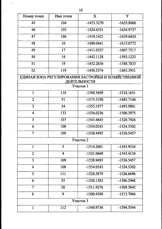
"Об утверждении границ объединенной зоны охраны объекта культурного наследия федерального значения "Дом Субботиной – Мартинсон, 1900 –1909 гг.", объектов культурного наследия регионального значения: "Жилой дом", "Усадьба Субботина", "Дом почетного гражданина Щелокова А.Н.", "Памятник Дзержинскому Феликсу Эдмундовичу", "Госпиталь с аптекой (усадьба Ушакова А.К.)", режимов использования земель и требований к градостроительным регламентам в границах данной зоны и внесении изменений в постановление Правительства Самарской области от 05.05.2012 № 243 "Об утверждении границ зон охраны объектов культурного наследия федерального значения, расположенных на территории Самарской области, режимов использования земель и градостроительных регламентов в границах данных зон"
Номер опубликования: 6300201703070007
Дата опубликования: 07.03.2017
Страница №13 из 26:
Увеличить