Официальное опубликование правовых актов
ОФИЦИАЛЬНОЕ ОПУБЛИКОВАНИЕ
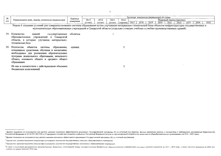
Постановление Правительства Самарской области от 27.12.2016 № 819
"О внесении изменений в постановление Правительства Самарской области от 11.02.2015 № 56 "Об утверждении государственной программы Самарской области "Строительство, реконструкция и капитальный ремонт образовательных учреждений Самарской области" до 2025 года"
Номер опубликования: 6300201612300026
Дата опубликования: 30.12.2016
Страница №91 из 108:
Увеличить