Официальное опубликование правовых актов
ОФИЦИАЛЬНОЕ ОПУБЛИКОВАНИЕ
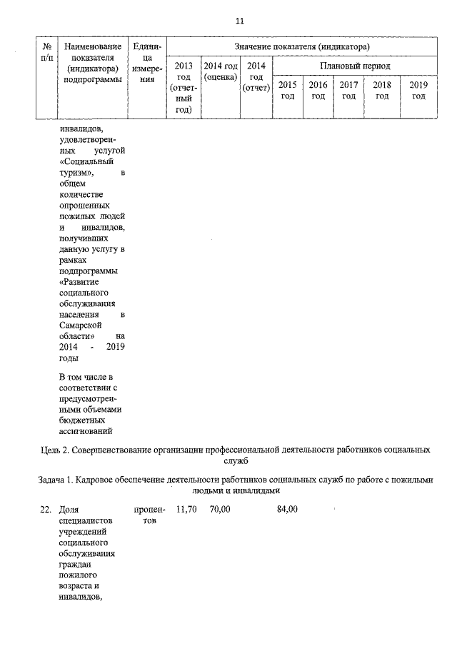
Постановление Правительства Самарской области от 29.12.2016 № 845
"О внесении изменений в постановление Правительства Самарской области от 23.07.2014 № 418 "Об утверждении государственной программы Самарской области "Развитие социальной защиты населения в Самарской области" на 2014 – 2018 годы"
Номер опубликования: 6300201612300005
Дата опубликования: 30.12.2016
Страница №168 из 174:
Увеличить