Официальное опубликование правовых актов
ОФИЦИАЛЬНОЕ ОПУБЛИКОВАНИЕ
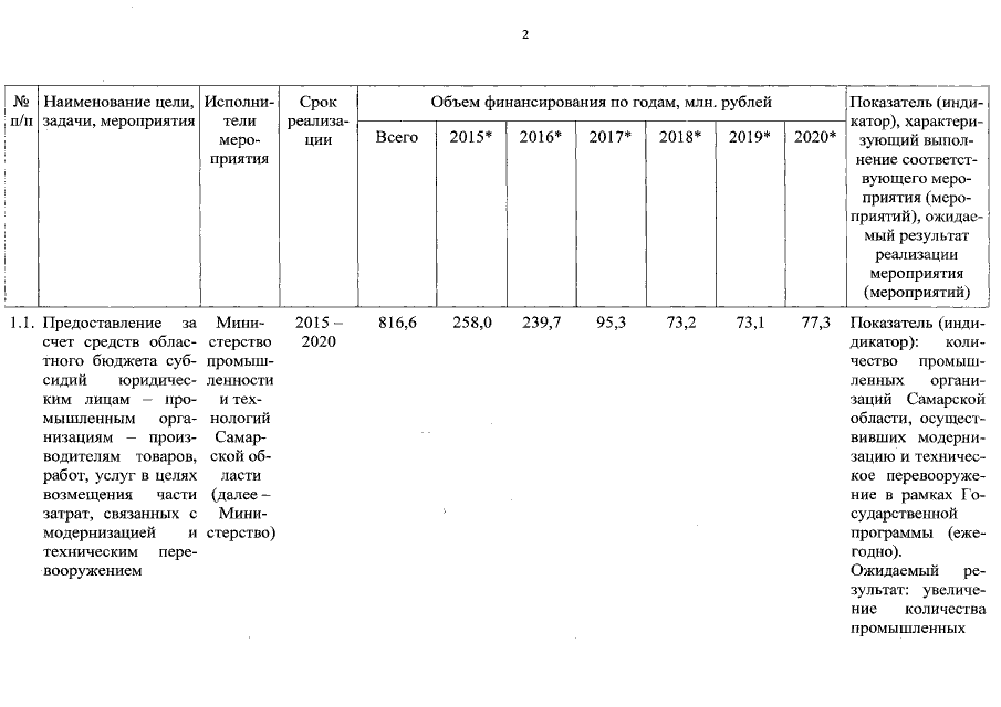
Постановление Правительства Самарской области от 07.12.2016 № 712
"О внесении изменений в постановление Правительства Самарской области от 04.06.2014 № 321 "Об утверждении государственной программы Самарской области "Развитие промышленности Самарской области и повышение ее конкурентоспособности до 2020 года"
Номер опубликования: 6300201612130028
Дата опубликования: 13.12.2016
Страница №18 из 60:
Увеличить