Официальное опубликование правовых актов
ОФИЦИАЛЬНОЕ ОПУБЛИКОВАНИЕ
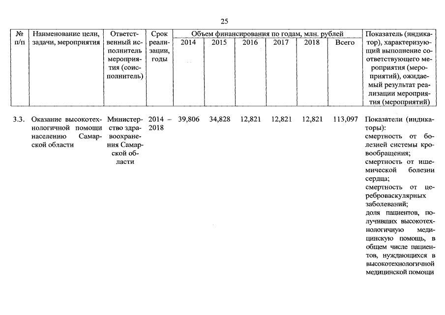
Постановление Правительства Самарской области от 09.12.2016 № 720
"О внесении изменений в постановление Правительства Самарской области от 27.11.2013 № 674 "Об утверждении государственной программы Самарской области "Развитие здравоохранения в Самарской области" на 2014 – 2018 годы"
Номер опубликования: 6300201612130016
Дата опубликования: 13.12.2016
Страница №61 из 262:
Увеличить