Официальное опубликование правовых актов
ОФИЦИАЛЬНОЕ ОПУБЛИКОВАНИЕ
Распоряжение Правительства Самарской области от 28.03.2016 № 199-р
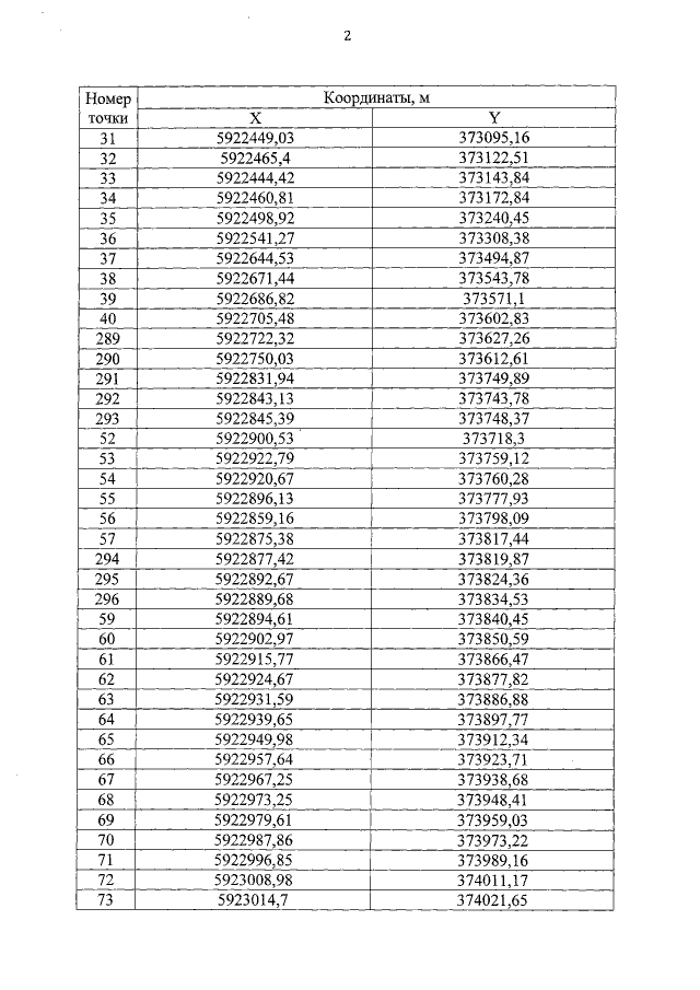
"О внесении изменений в распоряжение Правительства Самарской области от 24.12.2014 № 999-р "Об утверждении основной части проекта планировки территории для размещения объекта транспортной инфраструктуры регионального значения "Реконструкция автомобильной дороги Волжский – аэропорт "Курумоч"
Номер опубликования: 6300201603310012
Дата опубликования: 31.03.2016
Страница №4 из 19:
Увеличить