Официальное опубликование правовых актов
ОФИЦИАЛЬНОЕ ОПУБЛИКОВАНИЕ
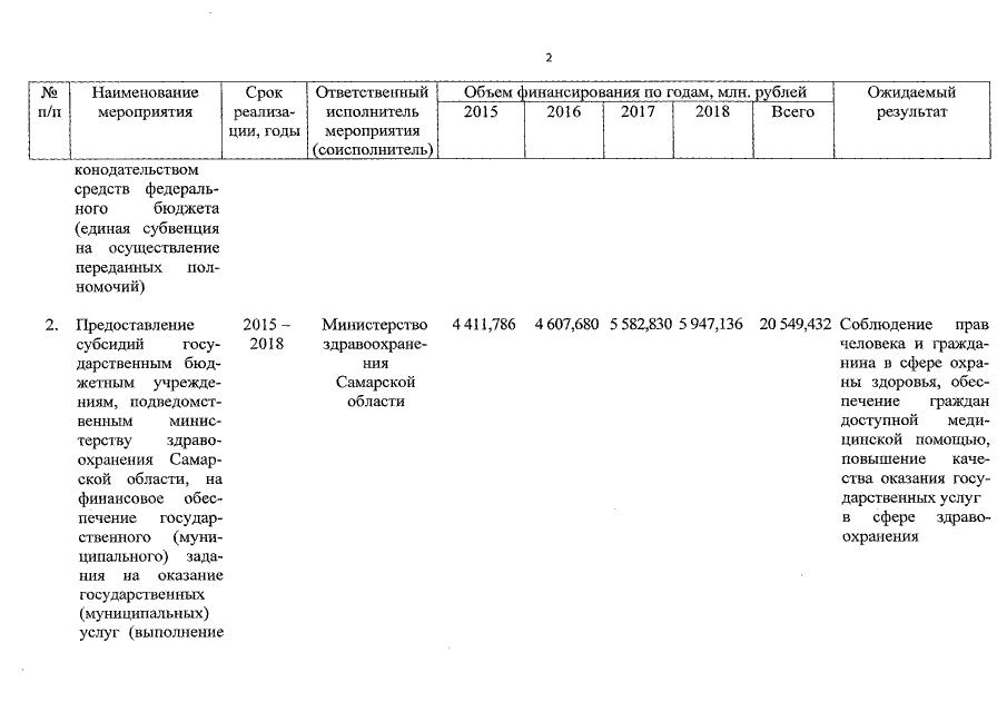
Постановление Правительства Самарской области от 18.11.2015 № 738
"О внесении изменений в постановление Правительства Самарской области от 27.11.2013 № 674 "Об утверждении государственной программы Самарской области "Развитие здравоохранения в Самарской области" на 2014 – 2018 годы" и признании утратившими силу отдельных постановлений Правительства Самарской области"
Номер опубликования: 6300201511190010
Дата опубликования: 19.11.2015
Страница №112 из 150:
Увеличить