Официальное опубликование правовых актов
ОФИЦИАЛЬНОЕ ОПУБЛИКОВАНИЕ
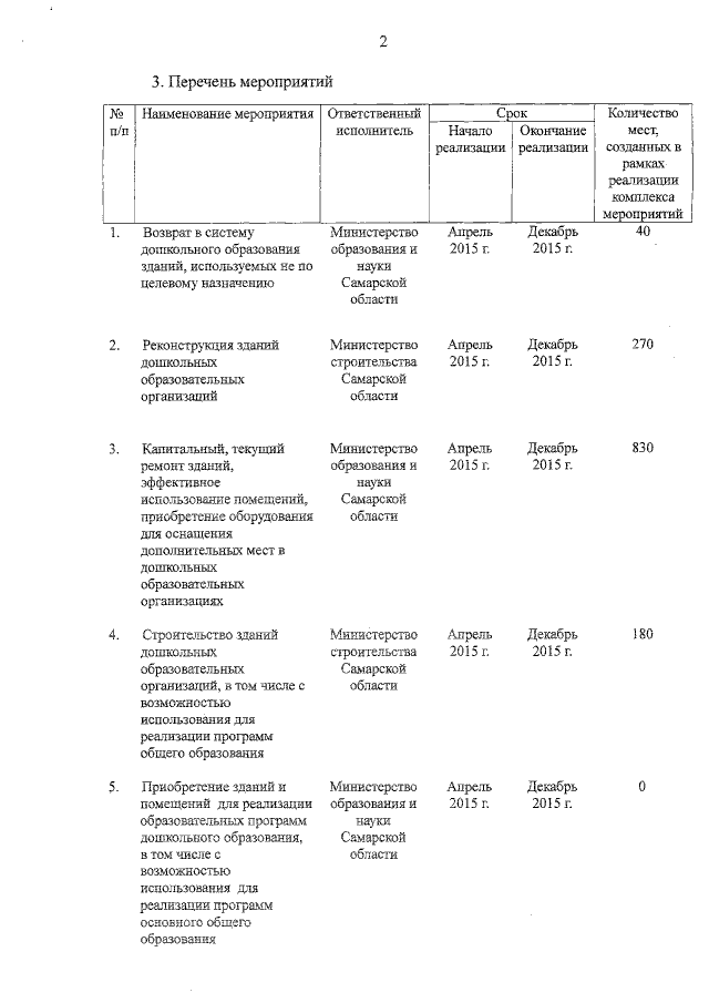
Постановление Правительства Самарской области от 03.06.2015 № 308
"Об утверждении Комплекса мероприятий по модернизации системы дошкольного образования Самарской области в 2015 году"
Номер опубликования: 6300201506050014
Дата опубликования: 05.06.2015
Страница №6 из 8:
Увеличить