Официальное опубликование правовых актов
ОФИЦИАЛЬНОЕ ОПУБЛИКОВАНИЕ
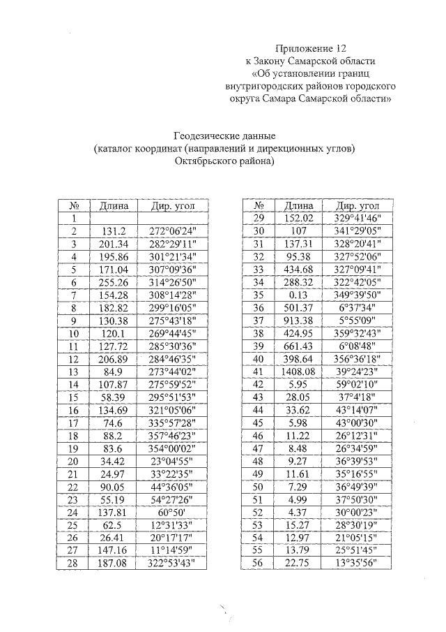
Закон Самарской области от 18.05.2015 № 53-ГД
"Об установлении границ внутригородских районов городского округа Самара Самарской области"
Номер опубликования: 6300201505200023
Дата опубликования: 20.05.2015
Страница №90 из 109:
Увеличить