Официальное опубликование правовых актов
ОФИЦИАЛЬНОЕ ОПУБЛИКОВАНИЕ
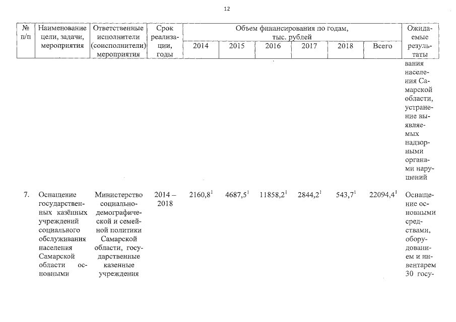
Постановление Правительства Самарской области от 12.02.2015 № 62
"О внесении изменений в постановление Правительства Самарской области от 23.07.2014 № 418 "Об утверждении государственной программы Самарской области "Развитие социальной защиты населения в Самарской области" на 2014 – 2018 годы"
Номер опубликования: 6300201502130001
Дата опубликования: 13.02.2015
Страница №25 из 40:
Увеличить