Официальное опубликование правовых актов
ОФИЦИАЛЬНОЕ ОПУБЛИКОВАНИЕ
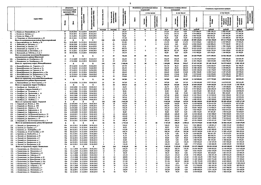
Постановление Правительства Самарской области от 26.12.2014 № 839
"О внесении изменений в постановление Правительства Самарской области от 27.11.2013 № 684 "Об утверждении государственной программы Самарской области "Развитие жилищного строительства в Самарской области" до 2020 года"
Номер опубликования: 6300201412300001
Дата опубликования: 30.12.2014
Страница №13 из 89:
Увеличить