Официальное опубликование правовых актов
ОФИЦИАЛЬНОЕ ОПУБЛИКОВАНИЕ
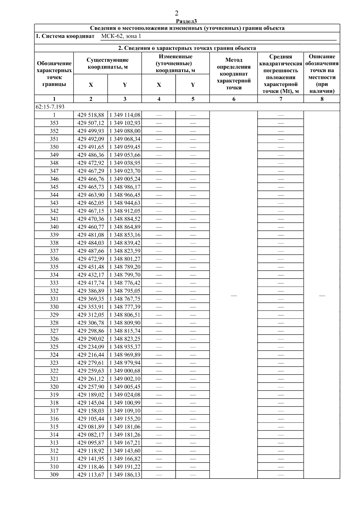
Постановление Главного управления архитектуры и градостроительства Рязанской области от 24.02.2026 № 166-п
"О внесении изменений в правила землепользования и застройки муниципального образования – Листвянское сельское поселение Рязанского муниципального района Рязанской области"
(Зарегистрирован 26.02.2026 № 228)
Номер опубликования: 6201202603030003
Дата опубликования: 03.03.2026
Страница №4 из 32:
Увеличить