Официальное опубликование правовых актов
ОФИЦИАЛЬНОЕ ОПУБЛИКОВАНИЕ
Постановление Главного управления архитектуры и градостроительства Рязанской области от 18.02.2026 № 137-п
"О внесении изменения в правила землепользования и застройки муниципального образования – Елинское сельское поселение Захаровского муниципального района Рязанской области"
(Зарегистрирован 18.02.2026 № 189)
Номер опубликования: 6201202602200010
Дата опубликования: 20.02.2026
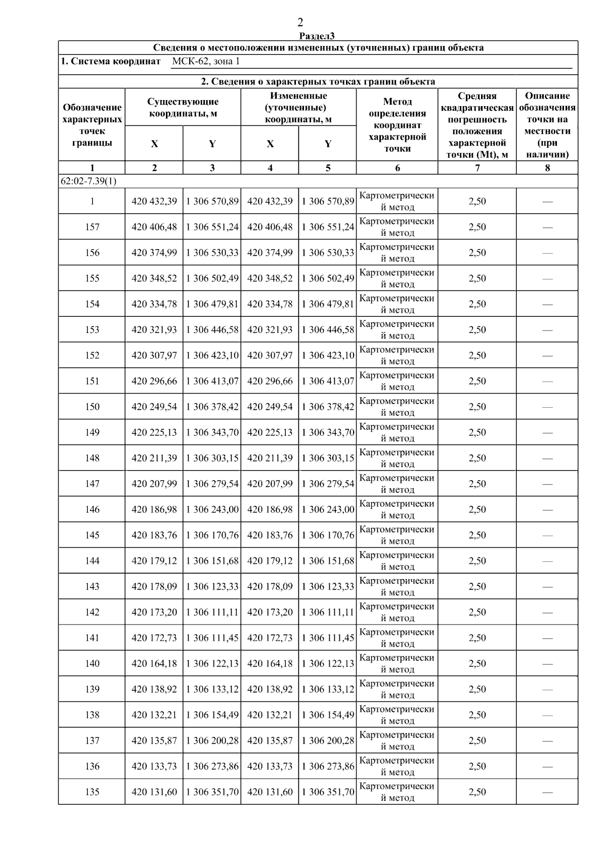
Страница №4 из 22:
Увеличить