Официальное опубликование правовых актов
ОФИЦИАЛЬНОЕ ОПУБЛИКОВАНИЕ
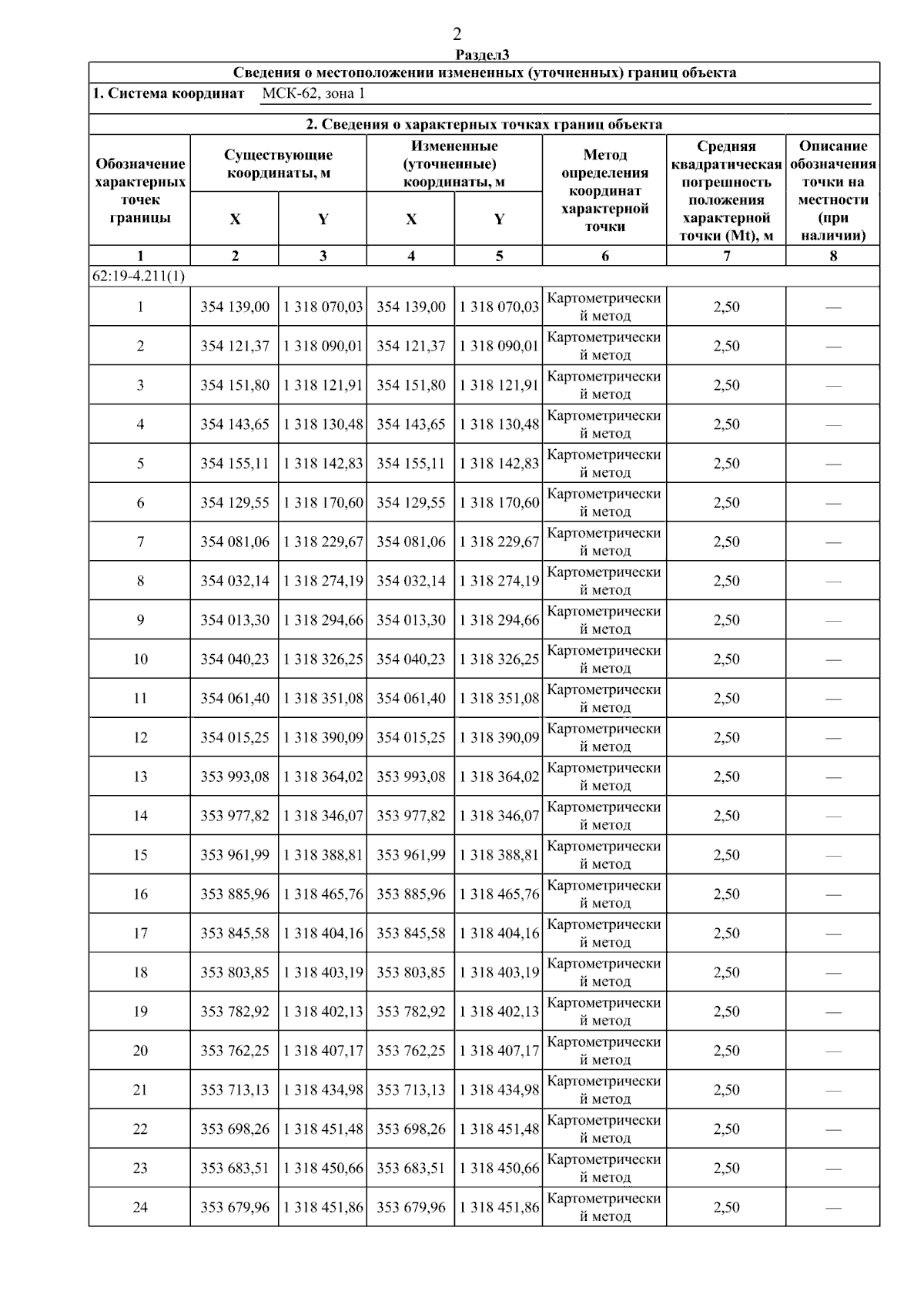
Постановление Главного управления архитектуры и градостроительства Рязанской области от 11.02.2026 № 103-п
"О внесении изменения в генеральный план муниципального образования – городской округ город Скопин Рязанской области"
(Зарегистрирован 12.02.2026 № 141)
Номер опубликования: 6201202602130004
Дата опубликования: 13.02.2026
Страница №4 из 12:
Увеличить