Официальное опубликование правовых актов
ОФИЦИАЛЬНОЕ ОПУБЛИКОВАНИЕ
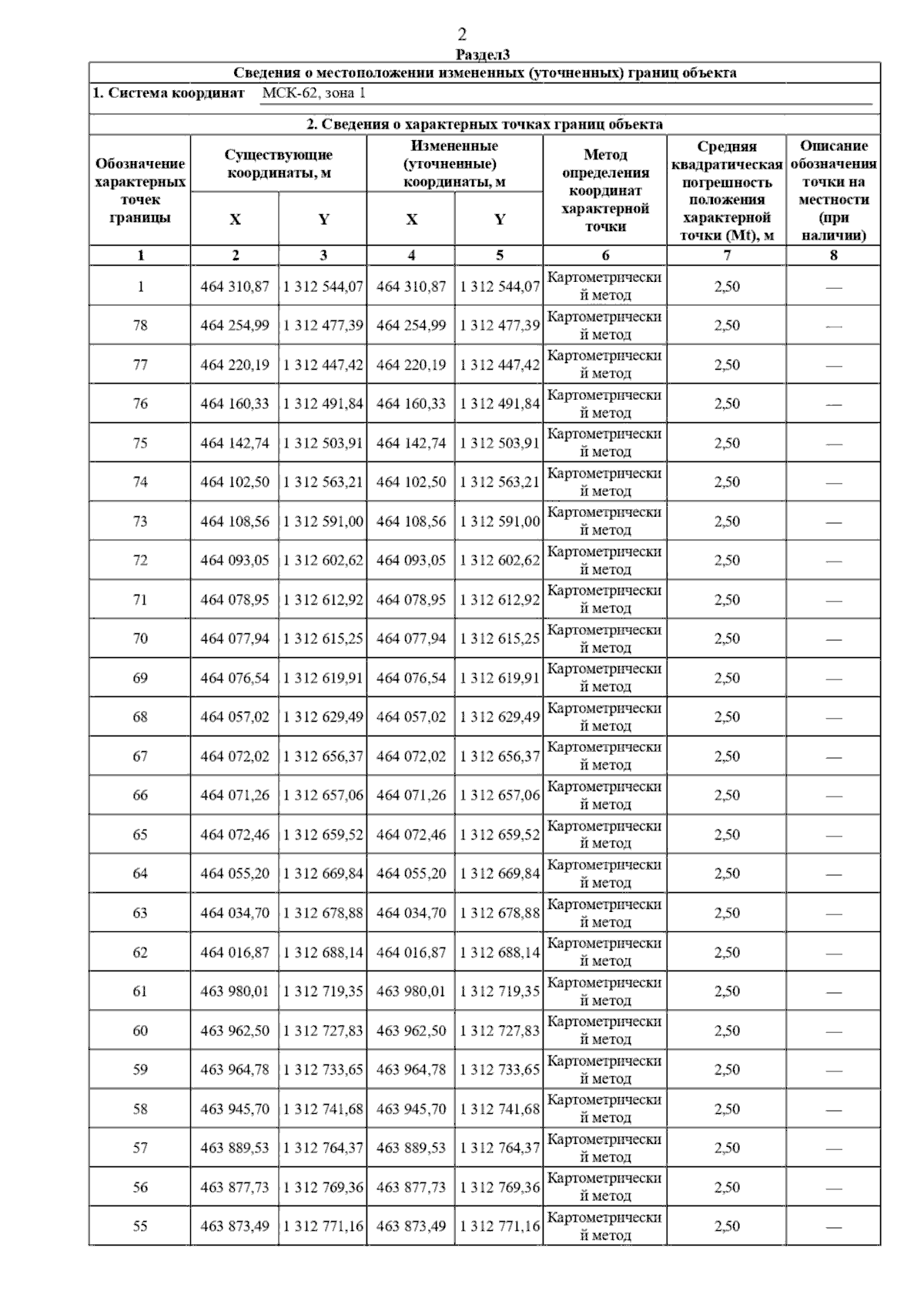
Постановление Главного управления архитектуры и градостроительства Рязанской области от 06.02.2026 № 93-п
"О внесении изменения в правила землепользования и застройки муниципального образования - Чурилковское сельское поселение Рыбновского муниципального района Рязанской области"
(Зарегистрирован 09.02.2026 № 128)
Номер опубликования: 6201202602110002
Дата опубликования: 11.02.2026
Страница №4 из 7:
Увеличить