Официальное опубликование правовых актов
ОФИЦИАЛЬНОЕ ОПУБЛИКОВАНИЕ
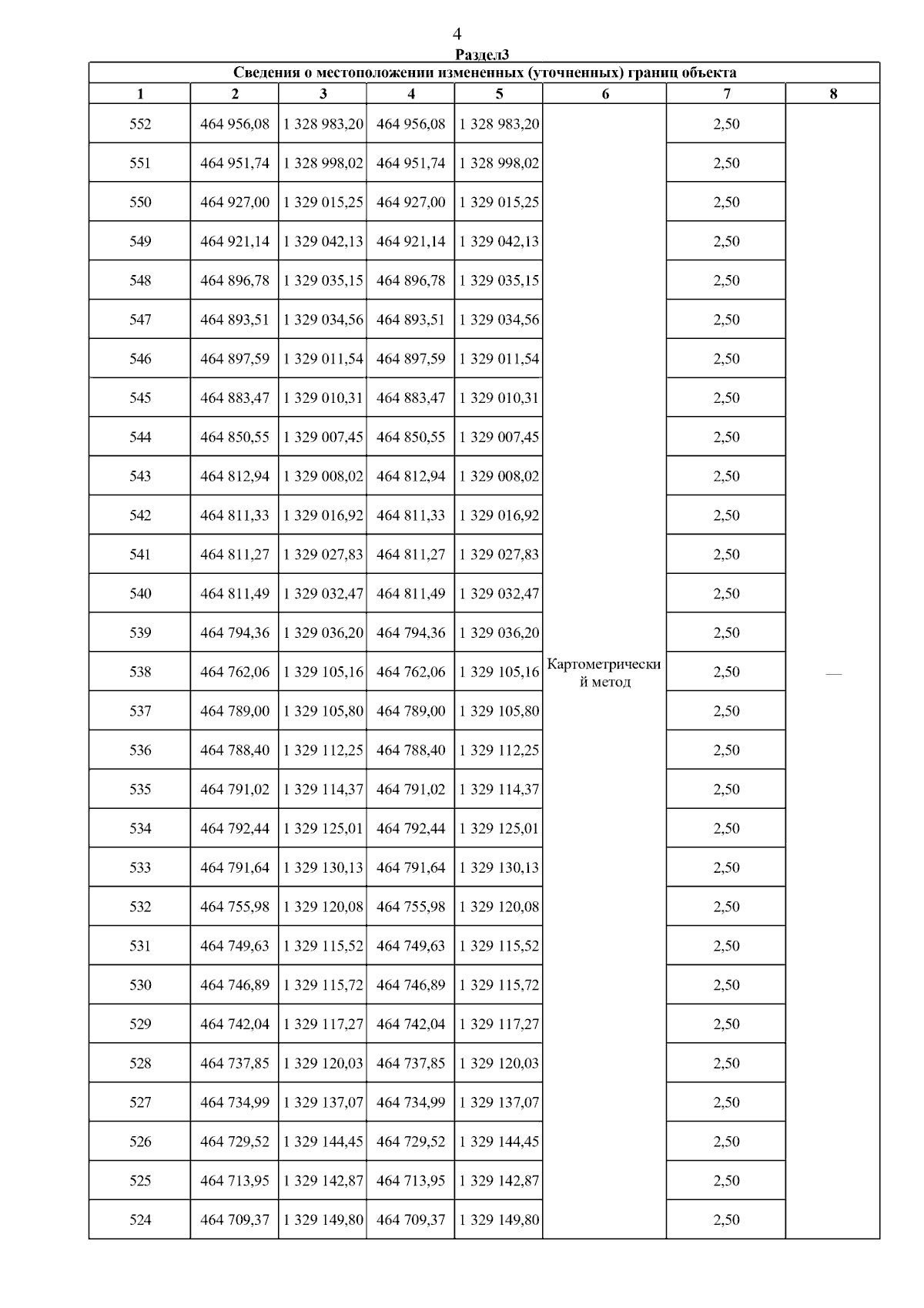
Постановление Главного управления архитектуры и градостроительства Рязанской области от 05.02.2026 № 86-п
"О внесении изменений в правила землепользования и застройки муниципального образования – Пощуповское сельское поселение Рыбновского муниципального района Рязанской области"
(Зарегистрирован 06.02.2026 № 119)
Номер опубликования: 6201202602100006
Дата опубликования: 10.02.2026
Страница №57 из 200:
Увеличить