Официальное опубликование правовых актов
ОФИЦИАЛЬНОЕ ОПУБЛИКОВАНИЕ
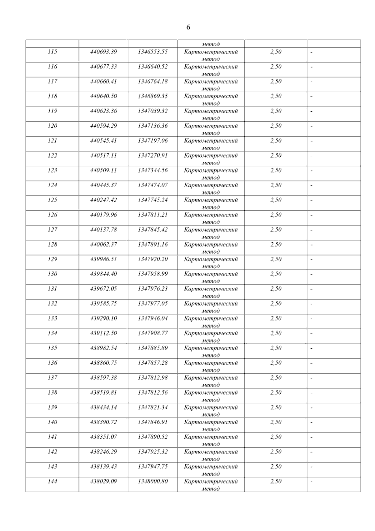
Постановление Главного управления архитектуры и градостроительства Рязанской области от 02.02.2026 № 58-п
"О внесении изменений в правила землепользования и застройки муниципального образования - Льговское сельское поселение Рязанского муниципального района Рязанской области"
(Зарегистрирован 03.02.2026 № 87)
Номер опубликования: 6201202602040002
Дата опубликования: 04.02.2026
Страница №9 из 53:
Увеличить