Официальное опубликование правовых актов
ОФИЦИАЛЬНОЕ ОПУБЛИКОВАНИЕ
Постановление Главного управления архитектуры и градостроительства Рязанской области от 29.01.2026 № 47-п
"О внесении изменения в генеральный план муниципального образования – Милославское сельское поселение Милославского муниципального района Рязанской области"
(Зарегистрирован 30.01.2026 № 73)
Номер опубликования: 6201202602020006
Дата опубликования: 02.02.2026
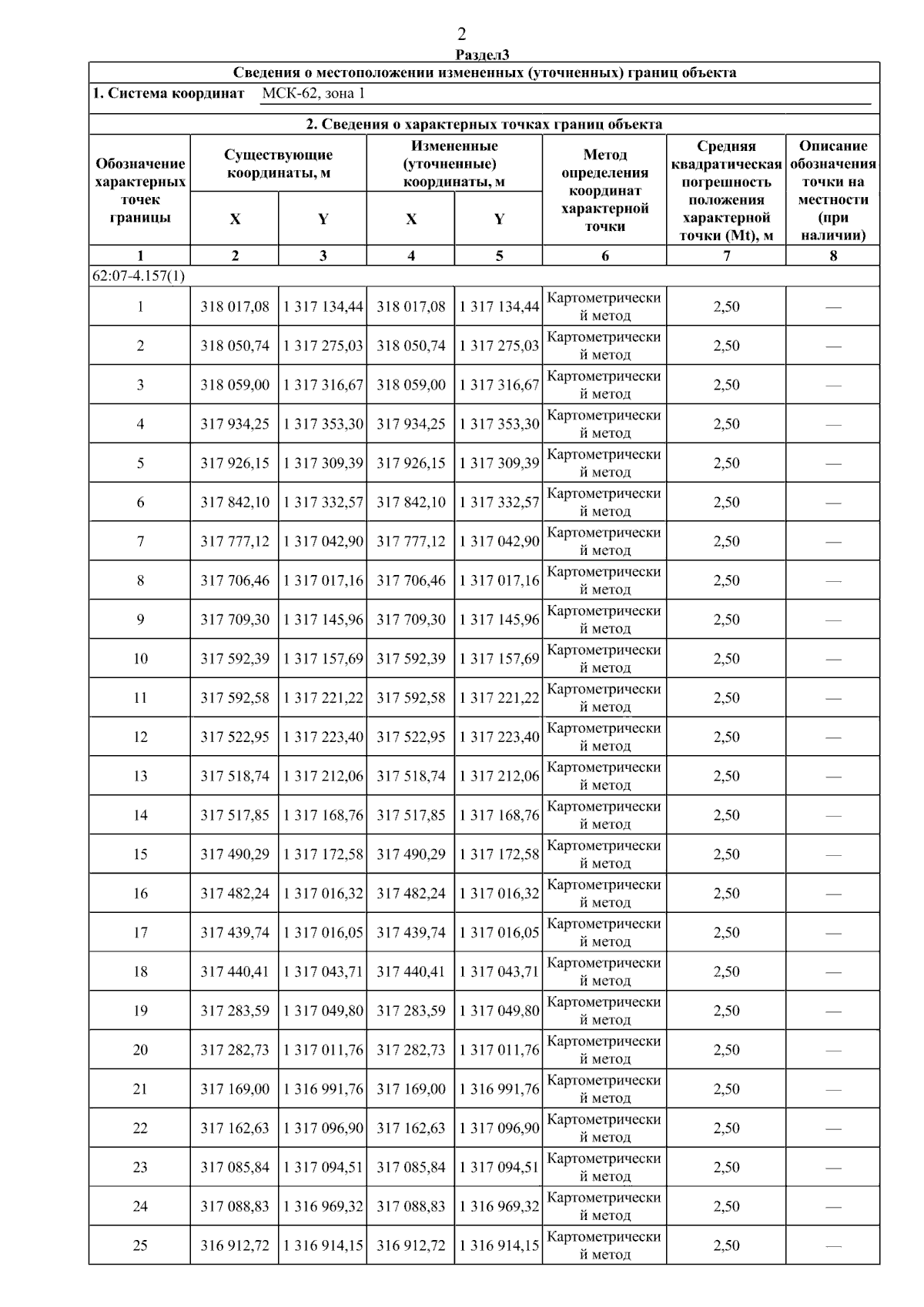
Страница №4 из 7:
Увеличить