Официальное опубликование правовых актов
ОФИЦИАЛЬНОЕ ОПУБЛИКОВАНИЕ
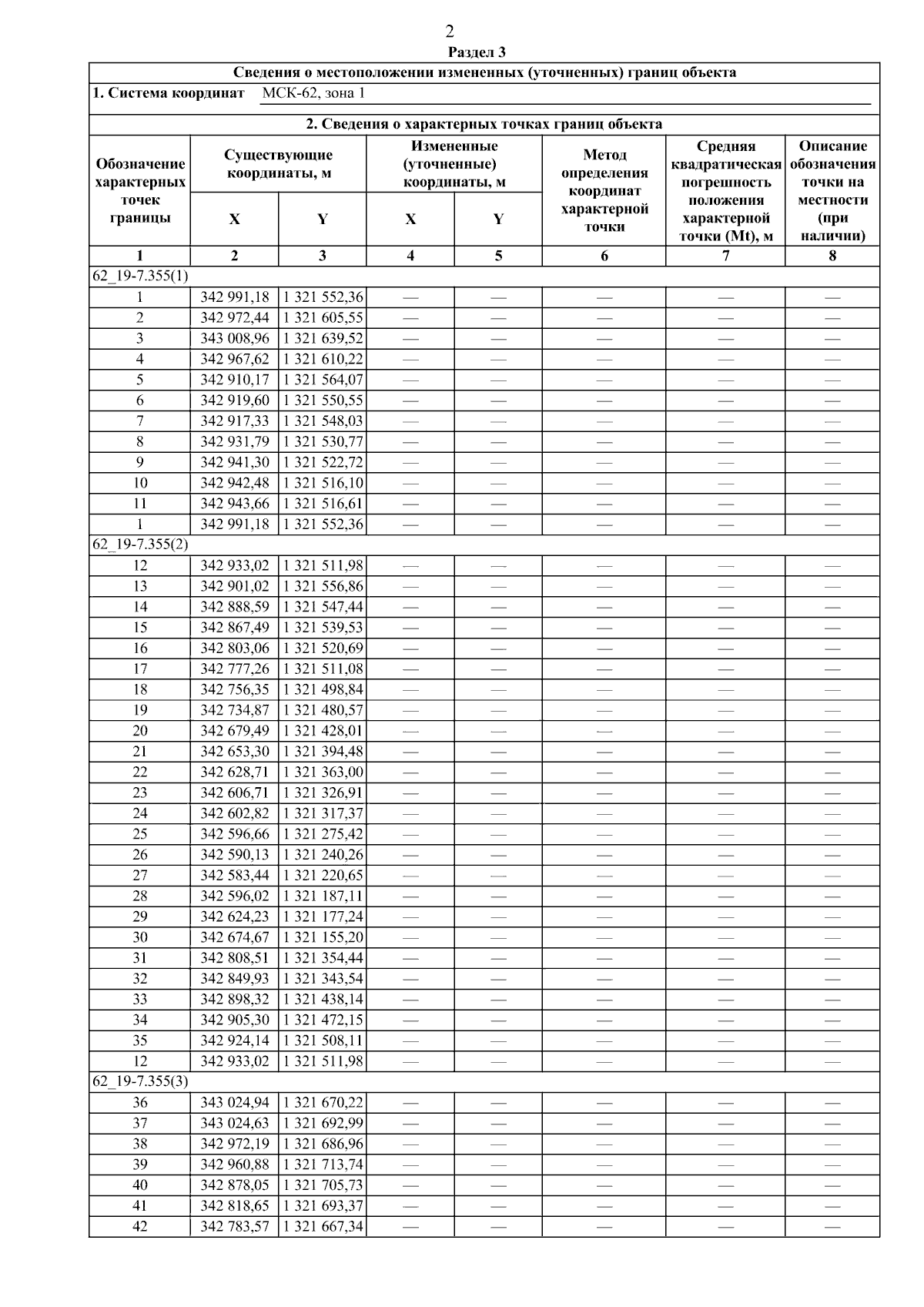
Постановление Главного управления архитектуры и градостроительства Рязанской области от 21.01.2026 № 23-п
"О внесении изменений в правила землепользования и застройки муниципального образования - Побединское городское поселение Скопинского муниципального района Рязанской области"
(Зарегистрирован 22.01.2026 № 36)
Номер опубликования: 6201202601260014
Дата опубликования: 26.01.2026
Страница №4 из 45:
Увеличить