Официальное опубликование правовых актов
ОФИЦИАЛЬНОЕ ОПУБЛИКОВАНИЕ
Постановление Главного управления архитектуры и градостроительства Рязанской области от 21.01.2026 № 24-п
"О внесении изменений в правила землепользования и застройки муниципального образования - Полянское сельское поселение Рязанского муниципального района Рязанской области"
(Зарегистрирован 22.01.2026 № 37)
Номер опубликования: 6201202601260013
Дата опубликования: 26.01.2026
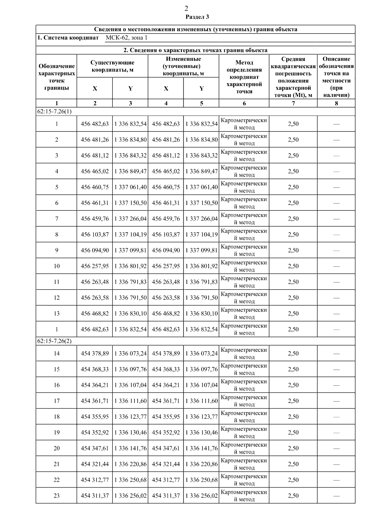
Страница №41 из 54:
Увеличить