Официальное опубликование правовых актов
ОФИЦИАЛЬНОЕ ОПУБЛИКОВАНИЕ
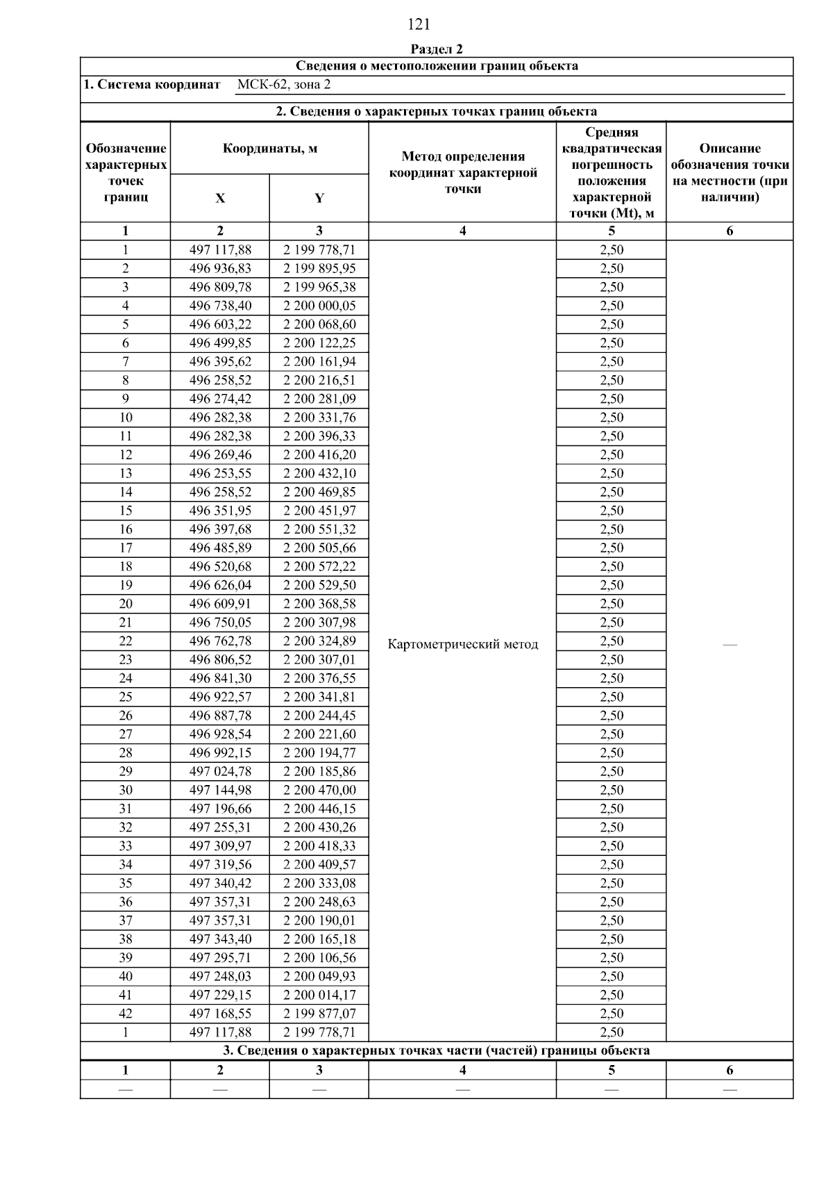
Постановление Главного управления архитектуры и градостроительства Рязанской области от 22.01.2026 № 26-п
"О внесении изменений в правила землепользования и застройки муниципального образования - Алексеевское сельское поселение Клепиковского муниципального района Рязанской области"
(Зарегистрирован 23.01.2026 № 39)
Номер опубликования: 6201202601260011
Дата опубликования: 26.01.2026
Страница №127 из 155:
Увеличить