Официальное опубликование правовых актов
ОФИЦИАЛЬНОЕ ОПУБЛИКОВАНИЕ
Постановление Главного управления архитектуры и градостроительства Рязанской области от 16.12.2025 № 1151-п
"О внесении изменения в генеральный план муниципального образования - Тырновское сельское поселение Шиловского муниципального района Рязанской области"
(Зарегистрирован 18.12.2025 № 1801)
Номер опубликования: 6201202512220013
Дата опубликования: 22.12.2025
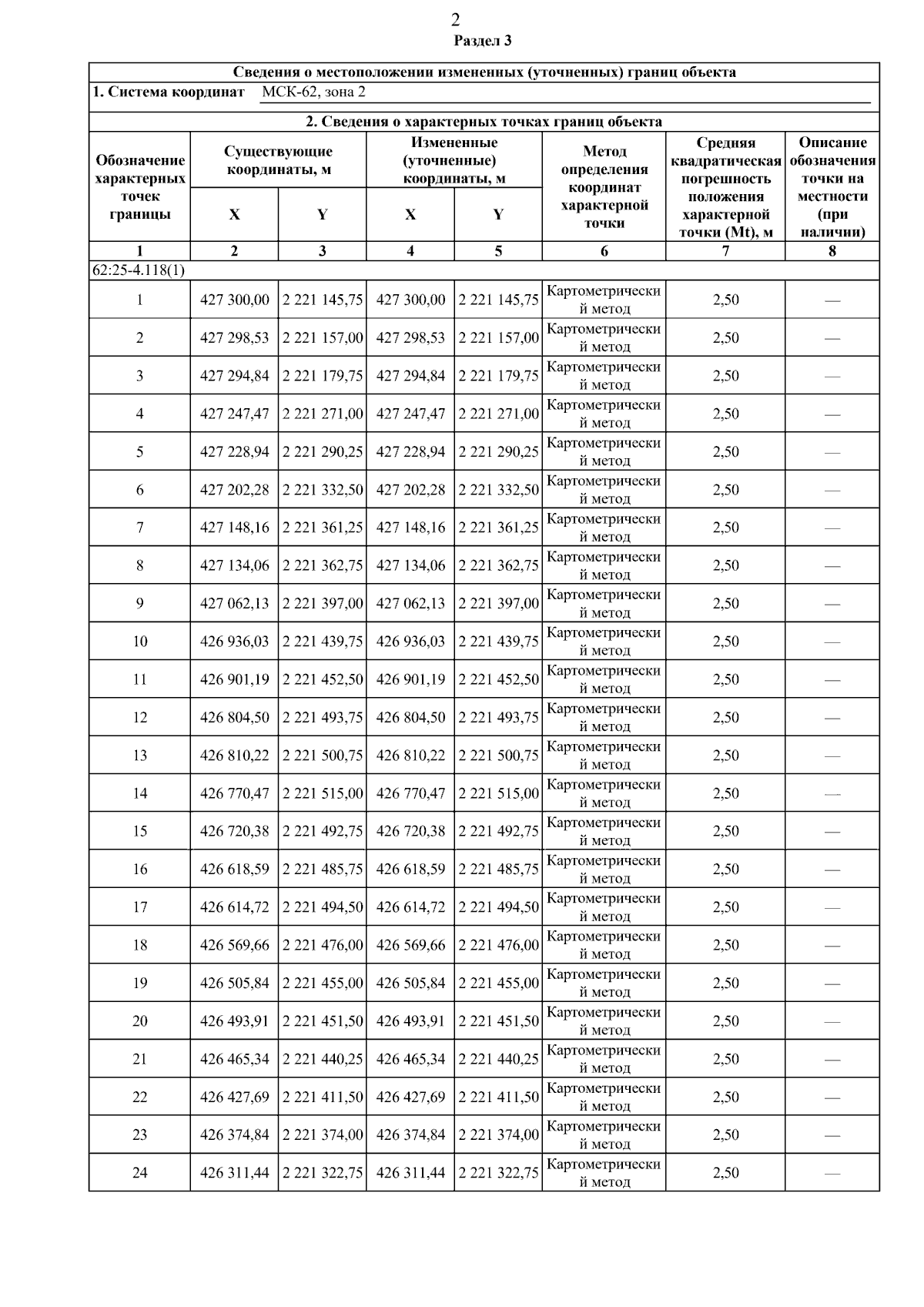
Страница №4 из 25:
Увеличить