Официальное опубликование правовых актов
ОФИЦИАЛЬНОЕ ОПУБЛИКОВАНИЕ
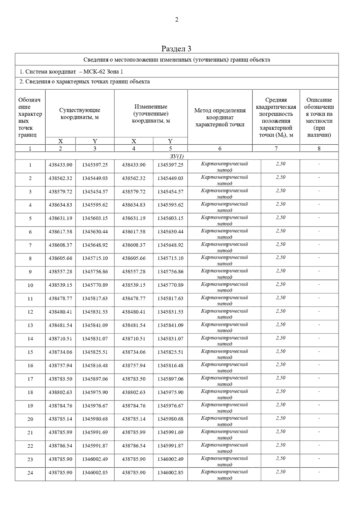
Постановление Главного управления архитектуры и градостроительства Рязанской области от 16.12.2025 № 1146-п
"О внесении изменений в генеральный план муниципального образования – Льговское сельское поселение Рязанского муниципального района Рязанской области"
(Зарегистрирован 18.12.2025 № 1793)
Номер опубликования: 6201202512190039
Дата опубликования: 19.12.2025
Страница №8 из 11:
Увеличить