Официальное опубликование правовых актов
ОФИЦИАЛЬНОЕ ОПУБЛИКОВАНИЕ
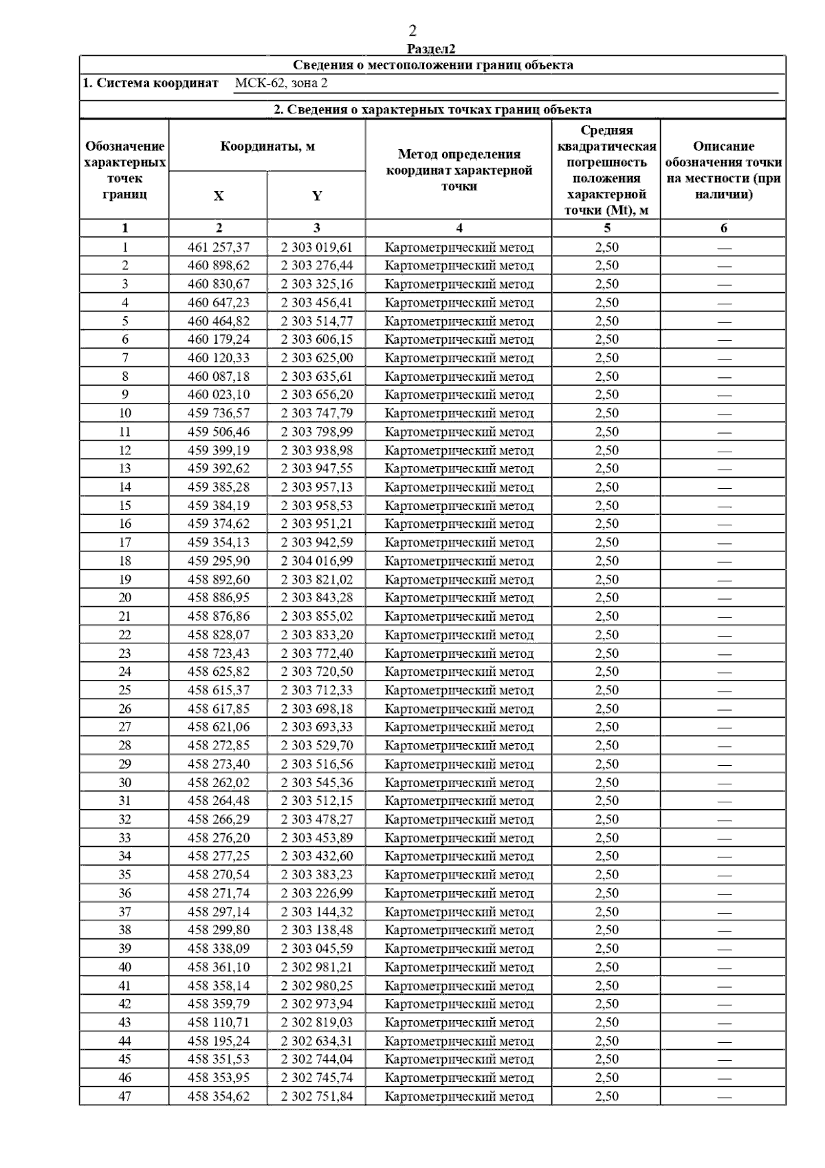
Постановление Главного управления архитектуры и градостроительства Рязанской области от 16.12.2025 № 1128-п
"О внесении изменения в генеральный план муниципального образования – Ермишинское городское поселение Ермишинского муниципального района Рязанской области"
(Зарегистрирован 18.12.2025 № 1775)
Номер опубликования: 6201202512190030
Дата опубликования: 19.12.2025
Страница №4 из 9:
Увеличить