Официальное опубликование правовых актов
ОФИЦИАЛЬНОЕ ОПУБЛИКОВАНИЕ
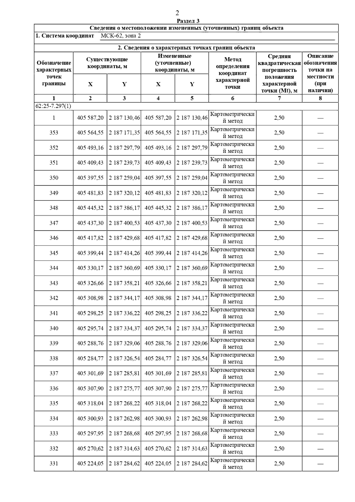
Постановление Главного управления архитектуры и градостроительства Рязанской области от 16.12.2025 № 1132-п
"О внесении изменений в правила землепользования и застройки муниципального образования - Мосоловское сельское поселение Шиловского муниципального района Рязанской области"
(Зарегистрирован 18.12.2025 № 1779)
Номер опубликования: 6201202512190024
Дата опубликования: 19.12.2025
Страница №125 из 179:
Увеличить