Официальное опубликование правовых актов
ОФИЦИАЛЬНОЕ ОПУБЛИКОВАНИЕ
Постановление Главного управления архитектуры и градостроительства Рязанской области от 15.12.2025 № 1121-п
"О внесении изменения в генеральный план муниципального образования – Касимовский муниципальный округ Рязанской области применительно к территории Лощининского сельского округа Касимовского района Рязанской области, за исключением территории кадастровых кварталов 62:04:0040102, 62:04:0040103"
(Зарегистрирован 16.12.2025 № 1712)
Номер опубликования: 6201202512180014
Дата опубликования: 18.12.2025
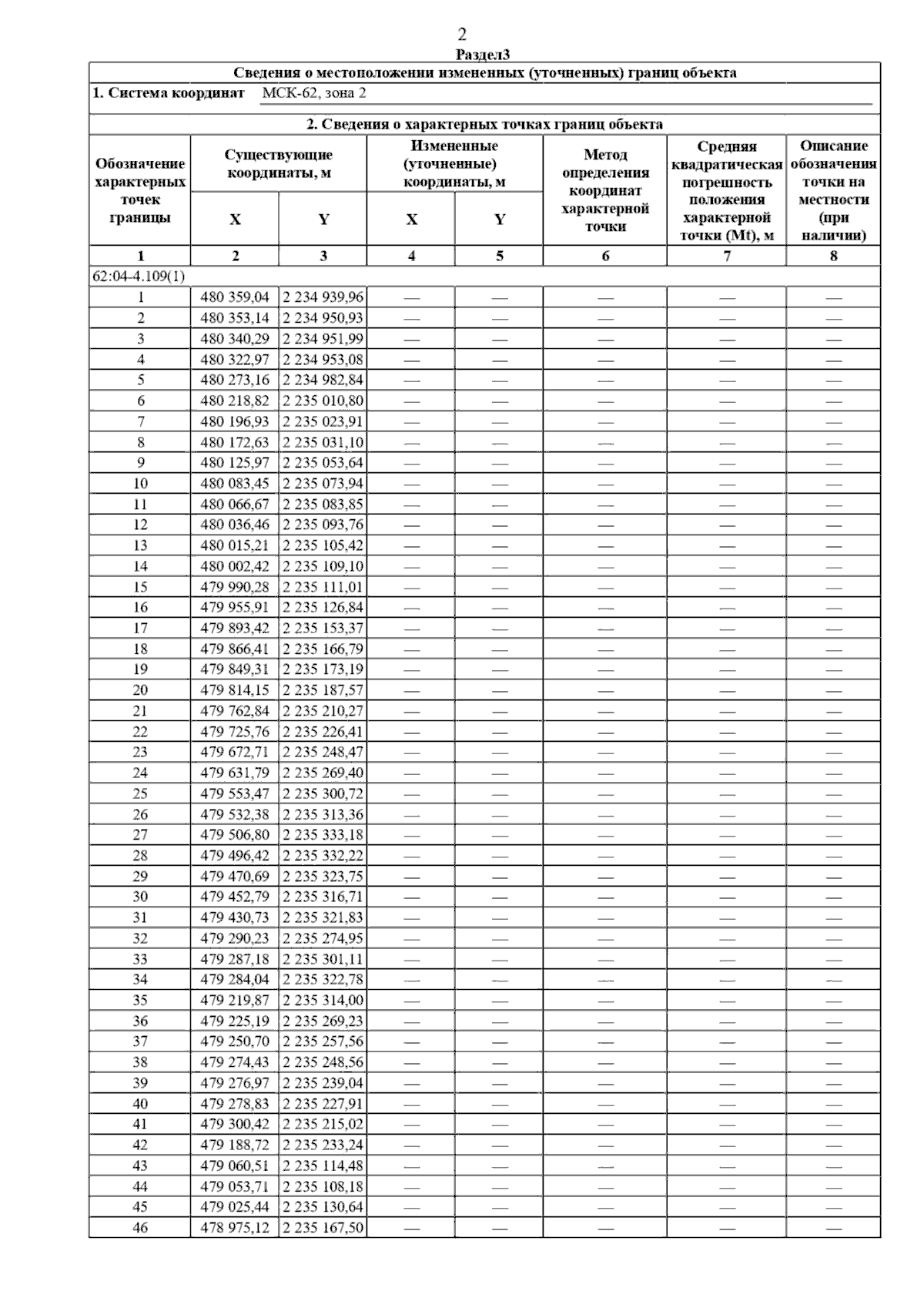
Страница №4 из 10:
Увеличить