Официальное опубликование правовых актов
ОФИЦИАЛЬНОЕ ОПУБЛИКОВАНИЕ
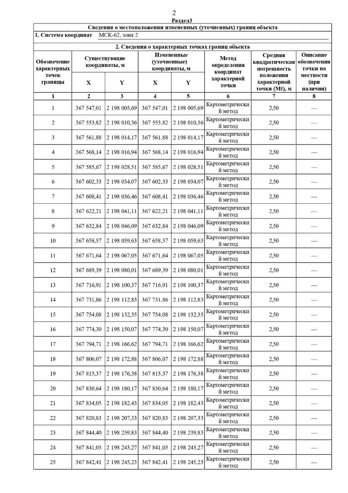
Постановление Главного управления архитектуры и градостроительства Рязанской области от 15.12.2025 № 1117-п
"О внесении изменений в генеральный план муниципального образования – Сапожковское городское поселение Сапожковского муниципального района Рязанской области"
(Зарегистрирован 16.12.2025 № 1708)
Номер опубликования: 6201202512180005
Дата опубликования: 18.12.2025
Страница №18 из 24:
Увеличить