Официальное опубликование правовых актов
ОФИЦИАЛЬНОЕ ОПУБЛИКОВАНИЕ
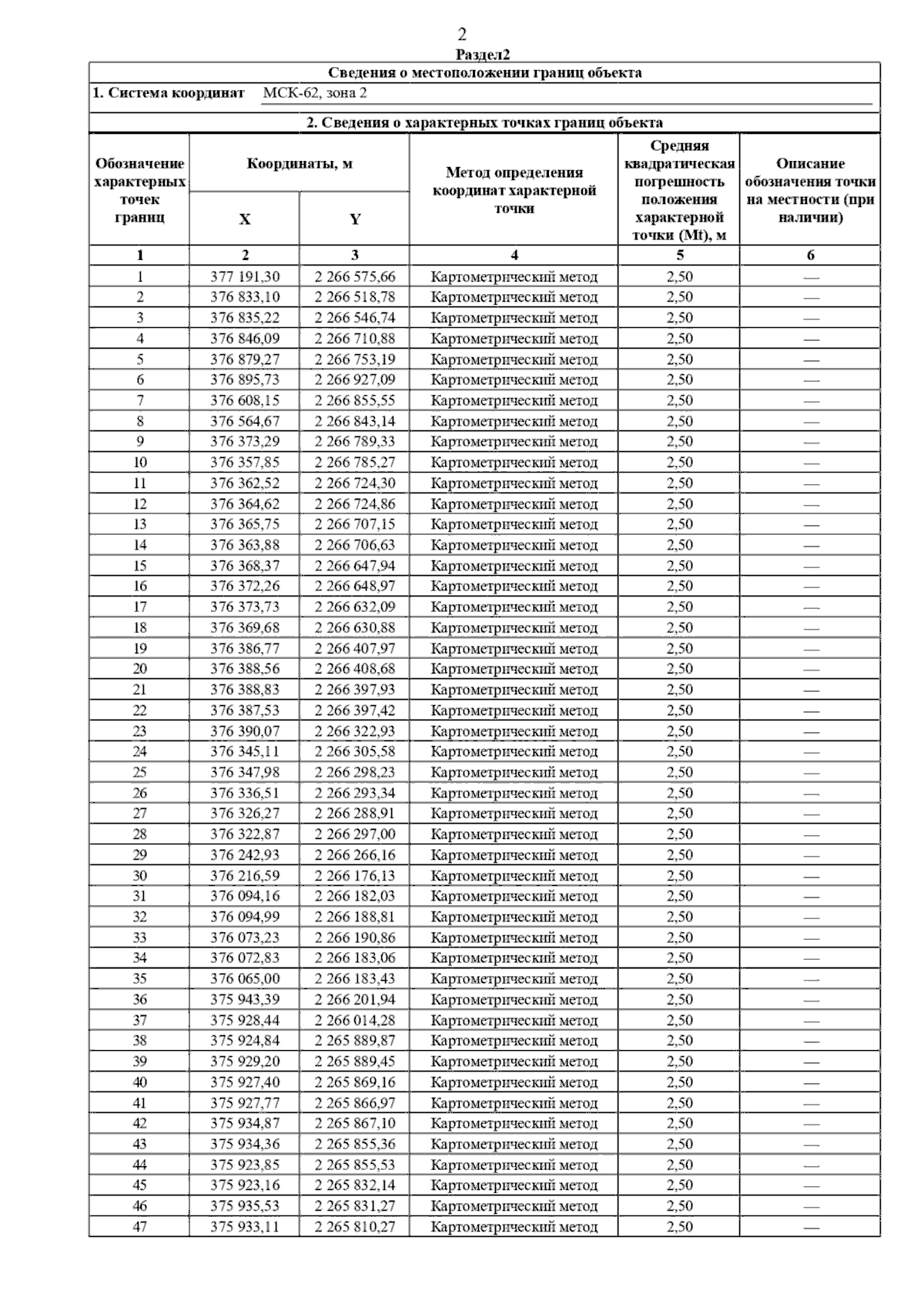
Постановление Главного управления архитектуры и градостроительства Рязанской области от 15.12.2025 № 1115-п
"О внесении изменения в генеральный план муниципального образования – Шацкое городское поселение Шацкого муниципального района Рязанской области"
(Зарегистрирован 16.12.2025 № 1706)
Номер опубликования: 6201202512180001
Дата опубликования: 18.12.2025
Страница №4 из 8:
Увеличить